ผมเชื่อว่าเทรดเดอร์แทบทุกคนที่เข้ามาในตลาดหุ้นแห่งนี้ หวังจะเป็นเทรดเดอร์ชั้นเซียนที่สามารถทำกำไรได้อย่างต่อเนื่องในทุกสภาวะตลาดกันทั้งนั้น แต่คำถามที่ผมเชื่อว่าทุกคนสงสัยก็คือ
เคล็ดลับการก้าวจากเทรดเดอร์ทั่วไปสู่การเป็นเทรดเดอร์ชั้นเซียนคืออะไรกัน ?
จากประสบการณ์และการศึกษาของผม ผมพบว่าสิ่งแรกที่เทรดเดอร์ชั้นเซียนให้ความสนใจที่สุด
ก็คือ “การรักษาเงินต้น” เพราะ พวกเขาคิดว่า “ตราบใดที่เงินต้นยังอยู่ โอกาสทำกำไรย่อมมีมาเสมอ”
สำคัญที่การรักษาเงินต้น
เมื่อเหล่าเทรดเดอร์ชั้นเซียนต่างพูดเป็นเสียงเดียวกันว่า “การรักษาเงินต้น” เป็นสิ่งสำคัญอย่างแรกที่พวกเขาคิดถึง นั่นแปลว่า การปิดประตูเจ๊งให้กับพอร์ตการลงทุนของเราจึงเป็นสิ่งสำคัญที่เราก็ต้องคำนึงถึงเช่นกัน
บทความนี้ผมจะบอกเคล็ดลับการปิดประตูเจ๊งให้กับพอร์ตการลงทุนของเราให้ทุกท่านทราบกันครับ
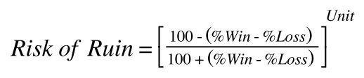
Risk of Ruin ผมขอแปลเป็นไทยง่าย ๆ ว่า “โอกาสเจ๊ง” เป็นสิ่งที่อธิบายการปิดประตูเจ๊งได้ดีที่สุด เพราะ เป็นสมการในทางสถิติที่ทำให้เราเห็นภาพของตัวแปรสำคัญ ๆ ที่มีผลต่อพอร์ตการลงทุนของเรา สมการ Risk of Ruin มีรูปร่างหน้าตาแบบนี้ครับ
โดย % Win คือ จำนวนครั้งที่เทรดแล้วชนะ
% Loss คือ จำนวนครั้งที่เทรดแล้วแพ้
Unit คือ จำนวนครั้งที่เสี่ยงได้ทั้งหมด (เสียติดกันกี่ครั้งถึงเจ๊ง)
ถ้า งง เรามาดูตัวอย่างกันดีกว่าครับ
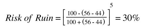
นาย A อยากรู้ว่าที่ผ่านมากลยุทธ์ที่เทรดไปมีโอกาสเจ๊งไหม
นาย A บันทึกได้ว่า ตัวเองเทรดไปแล้ว 100 ครั้ง ชนะไป 56 ครั้ง แพ้ไป 44 ครั้ง
เวลาเทรดแพ้เสียครั้งละ 20% ของพอร์ต (แพ้ได้ทั้งหมด 5 ครั้ง)
นาย A เอาสิ่งที่จดบันทึกมาแทนในสูตรด้านบนได้ดังนี้
Risk of Ruin ของ นาย A ได้ 30% แปลว่า “โอกาสที่พอร์ตนาย A จะเจ๊งมีอยู่ 30%” ดูเผิน ๆ เหมือนจะไม่มากแค่ 30% เอง แต่ถ้าเราจะก้าวไปเป็นเทรดเดอร์ชั้นเซียนสิ่งที่สำคัญที่สุด คือ “การรักษาเงินต้น” อย่างที่กล่าวไปตอนต้นจริงไหมครับ!! นั่นแปลว่า เราต้องทำให้ โอกาสที่พอร์ตจะเจ๊ง เป็น 0 พูดง่าย ๆ คือ ปิดประตูเจ๊งไปเลย
คำถามสำคัญก็คือ แล้วเราต้องทำอะไรบ้าง จึงจะปิดประตูเจ๊งให้กับพอร์ตได้ ?
เราจะมาวิเคราะห์สมการ Risk of Ruin กัน สมการนี้มีตัวแปรหลัก ๆ ด้วยกัน 3 ตัว คือ %Win, %Loss และ Unit สิ่งที่เราต้องทำก็คือ เพิ่ม %Win ลด %Loss 2 สิ่งนี้จะขึ้นกับกลยุทธ์ที่ใช้และวินัยของเราครับ สิ่งที่ทำได้อีกอย่างคือ การเพิ่มจำนวน Unit (ลดจำนวนเงินที่เทรดเสียในแต่ละครั้ง) ถ้ายังไม่เข้าใจที่ผมอธิบายเราไปดูตัวอย่างกันอีกครั้งครับ
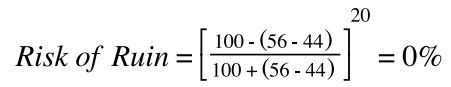
หลังจาก นาย A รู้ว่ากลยุทธ์ที่ตัวเองใช้มาตลอดนั้นมีโอกาสทำให้พอร์ตเจ๊งสูง
นาย A จึงกลับตัวกลับใจ ปรับปรุงการเทรดของตนเอง ให้เทรดได้ปลอดภัยไม่ต้องล้างพอร์ต
นาย A บันทึกได้ว่า หลังจากเทรดผ่านไป 100 ครั้ง ตนเองยังคงชนะได้ 56 ครั้ง แพ้ไป 44 ครั้งเช่นเดิม (ใช้กลยุทธ์การเทรดแบบเดิม) แต่เวลาเทรดเสียแต่ละครั้ง นาย A เสียครั้งละ 5% ของพอร์ตเท่านั้น (เดิมเสียครั้งละ 20%) เมื่อนำสิ่งที่นาย A บันทึกไว้มาแทนในสมการเพื่อหา “โอกาสที่พอร์ตจะเจ๊ง” จะได้
จาก Risk of Ruin ที่ได้จากการปรับปรุงกลยุทธ์การเทรด ตอนนี้ นาย A ปิดประตูเจ๊งของพอร์ตเรียบร้อยแล้ว นาย A แค่ลดการเสียในการเทรดแต่ละครั้งเท่านั้น (เพิ่ม Unit) ซึ่งเป็นวิธีที่ง่ายมากและทำได้ทันที
แต่สมการนี้เป็นเพียงค่าทางสถิติที่แสดงให้เห็นปัจจัยที่มีผลต่อโอกาสเจ๊งของพอร์ตเรา เพื่อให้เราได้เข้าใจปัจจัยต่าง ๆ เหล่านั้นได้ง่ายขึ้นเท่านั้น แต่ในสถานการณ์จริงยังมีปัจจัยเรื่องของอารมณ์และสถานการณ์ของตลาดมาเกี่ยวข้องด้วย ดังนั้น การฝึกฝนและวินัยของเราจึงเป็นเรื่องสำคัญมาก
หวังว่าบทความนี้จะช่วยให้เทรดเดอร์ก้าวไปเป็นเทรดเดอร์ชั้นเซียนได้เร็วขึ้นอีก 1 ก้าวนะครับ สุดท้ายผมขออวยพรให้ทุกท่านที่ตั้งใจและฝึกฝนอย่างหนักได้เป็นเทรดเดอร์มืออาชีพตามที่ตั้งใจไว้ครับ



